RF system performance is mission-critical in military aerospace engineering. From satellite...
High Pass Filter Circuits: The Building Blocks of RF Precision
There are probably few components more critical to RF signal integrity than high pass filter circuits. High-frequency signal preservation and low-frequency interference blocking in these circuits facilitate clear transmission and reception within radio frequency systems. When designed correctly, who knows what limitations these minute filters can overcome?
While the cutoff frequency is often the main focus in high pass filter design, RF engineers must also consider impedance mismatches, parasitic effects, and unintended phase shifts that can degrade performance if not properly managed. Balancing these factors while maintaining the required signal transmission, however, is a constant challenge in RF circuit design.
What goes into a well-designed high pass filter circuit? Continue reading to explore its key components and discuss strategies to achieve precise high pass filter circuit performance.
How High Pass Filter Circuits Control RF Signal Propagation
High pass filter circuits define the lower frequency boundary of an RF system, rejecting unwanted signals while preserving critical high-frequency components. How these circuits function will rely on reactive elements, including capacitors and inductors, whose impedance varies with frequency.
In a basic high pass configuration, a series capacitor blocks low-frequency signal, while an inductor to ground diverts it away from the signal path. The transition point, called the cutoff frequency, is set by the LC time constant, dictating the circuit’s frequency response. However, designers rarely achieve this ideal filter behavior. Parasitic inductance, stray capacitance, and impedance mismatches can distort the response and affect signal quality.
To overcome signal distortion, effective high pass filter design requires a careful selection of components, precise layout techniques, and an understanding of how real-world effects deviate from theoretical models.
Technical Approach to Designing a High-Performance RF High Pass Filter Circuit
LC-based high pass filters are widely used in RF applications owing to their desirable signal filtering and impedance properties. However, designing these filters for such demanding environments requires meticulous attention to component characteristics, including but not limited to high-Q component selection, resonance effects, thermal stability, and radiation tolerance.
RF engineers employ strategic design methodologies to develop filters that meet these stringent performance specifications. Let's examine some of these approaches.
1. Determine the Cutoff Frequency and Component Values
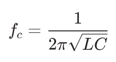
Selecting the appropriate cutoff frequency is one of the most critical factors in high pass filter design, as it establishes the fundamental boundary for signal transmission. Ultimately, the ideal cutoff frequency (fc) of an LC high pass filter is determined by the relationship:

LC High Pass Filter Cutoff Frequency Formula
Where L and C must be chosen based on the target frequency range and impedance requirements. High-Q inductors and capacitors with low equivalent series resistance (ESR) should be used to minimize power loss.
- Inductor Considerations. Look for inductors with low series resistance (DCR) to reduce insertion loss and high self-resonant frequency (SRF) to prevent unwanted signal attenuation. Material properties and core construction also impact performance at RF frequencies.
- Capacitor Considerations. Select capacitors with an appropriate quality factor (Q), low equivalent series resistance (ESR), and suitable voltage rating.
Choose the Appropriate Topology
Choose the appropriate topology based on the desired trade-offs in filter performance. You can consider several options, such as:
- Simple Series LC Filter. This basic design places a capacitor in series with the signal path and an inductor to the ground, providing a single-pole roll-off (-20 dB/decade).
- Lattice and Ladder Networks. Multi-stage LC filters offer steeper roll-off and better selectivity but require precise component tuning.
- Butterworth, Chebyshev, and Elliptic Filters. Advanced LC designs optimize the transition band, addressing ripple, attenuation, and group delay requirements.
Match Impedance and Control Reflections
High pass filter circuits need to be carefully designed to match the system impedance, usually 50Ω or 75Ω, to avoid signal reflections. Impedance mismatches can create standing waves, which reduce signal quality and cause power loss.
To match impedance properly between different stages of the filter, a quarter-wave transformer (a transmission line with a length of λ/4) is often used. This helps ensure a smooth transition between components by adjusting the impedance at the connection points. For even more precise matching, L-, T-, and π-networks can be used to fine-tune reactance and improve the overall fit between filter stages.
High-Q components can improve filter selectivity and reduce loss, but they may also cause issues like increased ringing or transient response. Choosing the right components and optimizing the circuit design are key to preventing these problems and ensuring the filter performs as intended.
High Pass Filter Circuit Performance Factors and Optimization
After designing the high pass filter circuit, engineers must evaluate critical performance factors to refine its operation and align it with the specific requirements of the RF system. Ultimately, RF engineers should pay attention to the following critical aspects:
Insertion Loss and Selectivity
Select components with low resistance to minimize signal attenuation, particularly in the passband. Optimizing selectivity helps reject unwanted low-frequency signals while allowing desired high-frequency components to pass with minimal degradation.
Phase Response and Group Delay
Limit group delay and phase distortion to prevent waveform distortion, particularly in wideband signals. Aim for a linear phase response within the filter's passband to preserve signal accuracy throughout the target frequency range.
Power Handling, Temperature Stability, and Parasitics
Choose components with sufficient power handling to avoid distortion in high-power applications. Minimize parasitic inductance and capacitance through careful layout to preserve filter functionality at high frequencies.
Develop Quality High Pass Filters Circuits for Your Project
Focusing on the critical factors discussed in this article equips you to refine high pass filter circuit designs according to stringent performance standards. To further focus on your project, consider entrusting the intricate design process to RF experts like Q Microwave.
Q Microwave brings extensive expertise in designing, testing, and manufacturing both off-the-shelf and custom RF solutions. With a deep understanding of high pass filter circuits, we deliver high-performance products engineered to fulfill the precise demands of your industry. Partner with Q Microwave today to refine your RF systems with expertly engineered filters and solutions.