The development of microwave filter theories and practices in the 1930s laid the foundation for...
LC High Pass Filter Design Made Simple: A Guide for RF Engineers
In modern RF systems, maintaining signal integrity is crucial, as unwanted low-frequency noise and interference can significantly degrade performance. Whether in wireless communication, radar, or satellite systems, filtering plays a vital role in ensuring that only the desired high-frequency signals are transmitted and received.
LC high-pass filters are a fundamental solution to this challenge, effectively attenuating lower frequencies while allowing higher frequencies to pass through. However, designing an efficient and reliable high-pass filter requires a solid understanding of fundamental principles, precise calculations, and careful component selection.
This guide simplifies the LC high-pass filter design process by breaking down key concepts, essential calculations, and real-world implementation techniques. Whether you're an experienced RF engineer or new to filter design, this resource will provide the practical knowledge needed to create high-performance filters for a wide range of RF applications.
LC High Pass Filters Explained
An LC high-pass filter is a circuit composed of inductors (L) and capacitors (C) designed to attenuate lower-frequency signals while allowing higher frequencies to pass. By leveraging the frequency-dependent impedance characteristics of inductors and capacitors, these filters effectively block unwanted low-frequency noise and interference, ensuring cleaner signal transmission in RF applications.
Why Use LC High-Pass Filters?
LC high-pass filters are widely used in RF systems due to several key advantages:
- Passive Operation: They do not require an external power source, making them efficient and reliable.
- Low Insertion Loss: They introduce minimal signal attenuation within the passband, preserving signal strength.
- High Selectivity: These filters provide sharp frequency roll-off, effectively isolating desired signals from unwanted lower-frequency components.
- Wide RF Applications: Commonly used in wireless communication, radar, and satellite systems to enhance signal integrity and performance.
Fundamentals of LC High-Pass Filters
Basic Working Principle
LC high-pass filters operate based on the frequency-dependent behavior of capacitors and inductors:
- Capacitors act as a barrier to low-frequency signals, offering high impedance at lower frequencies while allowing higher frequencies to pass through.
- Inductors permit low-frequency signals to pass freely but present increasing impedance to higher frequencies, effectively blocking them.
- Together, they form a reactive network that selectively attenuates low-frequency components while passing higher-frequency signals, creating a high-pass filtering effect.
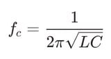
Understanding Cutoff Frequency
The cutoff frequency is the point where the filter starts significantly attenuating lower frequencies. It is determined by the values of the inductor (L) and capacitor (C) using the formula:

In practical applications, the cutoff frequency is carefully selected based on system requirements. For example, in Wi-Fi applications operating at 2.4 GHz, an LC filter may be designed to block signals below 1.8 GHz to minimize interference from lower-frequency sources. Similarly, in radar systems operating at 10 GHz, the cutoff frequency might be set around 8 GHz to ensure only the desired high-frequency signals are received, reducing noise and improving system performance.
Comparison with Other Filter Types
LC high-pass filters offer distinct advantages compared to other filtering technologies:
- RC Filters: Simple to design but suffer from high insertion loss at RF frequencies, making them less effective for precision applications.
- Active Filters: Require external power and are generally unsuitable for high-frequency RF applications due to bandwidth limitations.
- SAW (Surface Acoustic Wave) & BAW (Bulk Acoustic Wave) Filters: Provide superior performance in specific RF applications but are complex and costly compared to LC filters.
Key Design Considerations
Determining the Cutoff Frequency
The cutoff frequency of an LC high-pass filter is determined based on the specific application requirements. High-frequency applications, such as communication systems, typically operate within the 1 GHz – 100 GHz range, where precise filtering is essential for maintaining signal integrity.
In contrast, lower-frequency applications, including industrial and audio systems, generally fall within the 10 kHz – 100 MHz range, requiring different design considerations. Understanding these frequency ranges helps engineers select appropriate LC values to achieve the desired filtering performance.
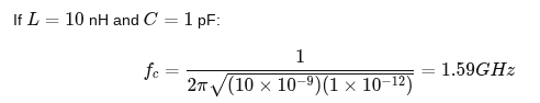
For example, Given an Given an inductor =10 nH and a capacitor 𝐶=1 pF, the cutoff frequency can be calculated as:

This LC high-pass filter design, with a 1.59 GHz cutoff frequency, is well-suited for filtering out lower-frequency interference in 5G high-frequency applications.
Selecting the Right Filter Topology
The selection of filter topology is based on specific system requirements. T-section filters are compact and easy to implement, which makes them suitable for applications where space is limited. On the other hand, π-section filters offer superior impedance matching and unwanted frequency rejection, making them the preferred choice for high-performance RF applications.
Impedance Matching Considerations
Proper impedance matching is essential to minimize reflections and prevent signal loss in RF circuits. Engineers can achieve this by using quarter-wave transformers or matching networks, ensuring smooth signal transition between components and improving overall system efficiency.
Component Selection for Optimal Performance
Selecting the right components is essential for ensuring high-performance LC high-pass filter designs. Inductor selection depends on frequency requirements—air-core inductors are ideal for RF applications above 1 GHz, while ferrite-core inductors are better suited for lower-frequency applications due to their ability to provide higher inductance values. Multilayer inductors offer a compact solution, making them ideal for miniaturized devices where space is limited.
For capacitor selection, ceramic capacitors (C0G/NP0) are preferred in RF applications due to their low loss and excellent temperature stability, ensuring minimal signal distortion. Film capacitors, on the other hand, are better suited for high-voltage applications where durability and power handling are critical.
Power handling and thermal considerations are crucial in RF circuit design. To prevent overheating and performance degradation, engineers should ensure that inductors and capacitors can handle the required RF power levels. Using low ESR (Equivalent Series Resistance) components helps minimize power loss and maintain overall system efficiency, ensuring reliable operation even under high-power conditions.
Real-World Implementation Techniques
Successfully implementing an LC high-pass filter in an RF system requires careful PCB layout, testing, and fine-tuning to ensure optimal performance.
PCB Layout Best Practices
Proper PCB design is critical for minimizing signal degradation. Traces should be kept as short as possible to reduce parasitic inductance, which can affect filter performance. Additionally, using a solid ground plane helps prevent signal coupling and noise issues, ensuring a stable and interference-free signal path. Engineers should also minimize the use of vias, as they introduce unwanted parasitic effects that can alter filter behavior at high frequencies.
Testing and Tuning LC High-Pass Filters
Once the filter is designed, a Vector Network Analyzer (VNA) is commonly used to measure key parameters such as:
- S-parameters, which indicate insertion loss and return loss, essential for assessing filter efficiency.
- Group delay and phase shift, which help analyze system performance and signal integrity.
For fine-tuning, slight adjustments to capacitor values can help achieve precise cutoff frequencies, while trimming inductors allow for real-time adjustments in applications requiring high accuracy.
Common Pitfalls and Troubleshooting
Several challenges can arise in real-world applications. Impedance mismatches may lead to signal reflections and performance degradation—a Smith chart can be a useful tool for proper impedance matching. Component tolerances also play a role; capacitors with 3-5% tolerance are commonly used, but 1% or better tolerances may be necessary for high-precision designs. Lastly, parasitic effects such as excessive PCB trace lengths should be minimized to prevent unwanted interference and ensure a clean frequency response.
Applications of LC High-Pass Filters in RF Systems
LC high-pass filters play a crucial role in a wide range of RF applications by ensuring signal clarity, reducing interference, and improving overall system performance.
Wireless Communication Systems
These filters are extensively used in 5G networks, Wi-Fi routers, and Bluetooth modules to reject unwanted low-frequency noise that can degrade signal quality. By filtering out interference, they help maintain clear and stable communication channels, which is essential for high-speed data transmission in modern wireless systems.
Radar and Defense Applications
In long-range radar and electronic warfare systems, LC high-pass filters are vital for eliminating low-frequency interference, ensuring that only the desired high-frequency signals are processed. This enhances target detection, signal accuracy, and overall system efficiency, making them indispensable in defense applications.
Medical and Industrial Uses
LC high-pass filters are also used in medical and industrial applications. For instance, they eliminate unwanted noise in high-frequency imaging systems, like MRI machines, which improves diagnostic accuracy. Additionally, in industrial RF heating applications, such as RF energy processing and material heating, high-pass filters ensure clean power delivery, which optimizes efficiency and system stability.
Future Trends in RF Filter Technology
The evolution of RF technology is driving advancements in adaptive, software-defined high-pass filters, which allow for real-time frequency tuning and system optimization. Additionally, the miniaturization of filters is becoming increasingly important, particularly for IoT devices and wearable technology, where space constraints demand compact yet high-performance filtering solutions.
Designing LC High-Pass Filters with Confidence: A Practical Guide for RF Engineers
At Q Microwave, we understand that LC high-pass filters are essential for maintaining signal integrity and RF performance by allowing high-frequency signals to pass while attenuating unwanted lower frequencies. Designing an efficient filter requires careful attention to circuit design, component selection, and implementation to meet system requirements. We also know that factors like PCB layout, impedance matching, and real-world operating conditions play a critical role in achieving optimal performance.
That’s why we offer custom high-pass filter solutions designed to meet your specific application needs. Our high-performance components are built for demanding RF environments, ensuring reliability and efficiency. With our expert support, we help you optimize your system for maximum performance and seamless integration.
Contact us today to discuss your RF filtering requirements and let’s work together to ensure your system performs at its best.